pkg load ocontrol
pkg list ocontrolPackage Name | Version | Installation directory
--------------+---------+-----------------------
ocontrol *| 10.1.0 | .../share/octave/api-v57/packages/ocontrol-10.1.0
pkg load ocontrol
pkg list ocontrolPackage Name | Version | Installation directory
--------------+---------+-----------------------
ocontrol *| 10.1.0 | .../share/octave/api-v57/packages/ocontrol-10.1.0
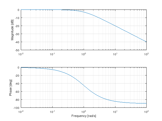
G = tf ([1], [1, 1]);
GG = num = 1
den =
1 1
delay = 0
tfnum = 1
tfdash = ------
tfden = s + 1
type = TF
sampleTime = 0
bode(G);